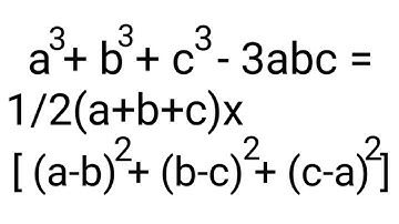
Prove that a³ + b³ + c³ - 3abc = 1/2(a + b + c) {(a-b)² + (b-c)² + (c-a)²)}

Tonton & Download Video Musik Gratis

⬇ DOWNLOAD NOW
Jika muncul iklan pop-up, tutup lalu klik tombol kembali

Download lagu Prove that a³ + b³ + c³ - 3abc = 1/2(a + b + c) {(a-b)² + (b-c)² + (c-a)²)} secara gratis hanya untuk keperluan promosi. Dukung artis favorit kamu dengan membeli musik original di iTunes atau platform resmi lainnya.