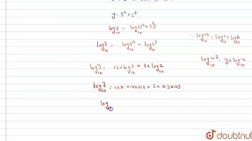
If log 2=0.30103 and log 3=0.47712, evaluate log 48.

Tonton & Download Video Musik Gratis

⬇ DOWNLOAD NOW
Jika muncul iklan pop-up, tutup lalu klik tombol kembali

Download lagu If log 2=0.30103 and log 3=0.47712, evaluate log 48. secara gratis hanya untuk keperluan promosi. Dukung artis favorit kamu dengan membeli musik original di iTunes atau platform resmi lainnya.