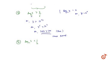
Given \( \log 2=0.30103, \log 3=0.47712, \log 7=0.84509 \) Find: (i) \( \log \left(1 \frac{8}{27...

Tonton & Download Video Musik Gratis

⬇ DOWNLOAD NOW
Jika muncul iklan pop-up, tutup lalu klik tombol kembali

Download lagu Given \( \log 2=0.30103, \log 3=0.47712, \log 7=0.84509 \) Find: (i) \( \log \left(1 \frac{8}{27... secara gratis hanya untuk keperluan promosi. Dukung artis favorit kamu dengan membeli musik original di iTunes atau platform resmi lainnya.