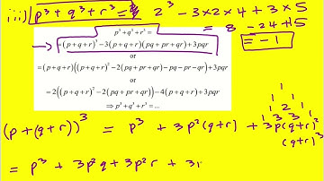
Edexcel A Level Further Maths: June 2019 Core Pure 2 - Q2 (Roots of a Cubic)

Tonton & Download Video Musik Gratis

⬇ DOWNLOAD NOW
Jika muncul iklan pop-up, tutup lalu klik tombol kembali

Download lagu Edexcel A Level Further Maths: June 2019 Core Pure 2 - Q2 (Roots of a Cubic) secara gratis hanya untuk keperluan promosi. Dukung artis favorit kamu dengan membeli musik original di iTunes atau platform resmi lainnya.