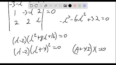
Edexcel A-Level Further Mathematics: Further Pure 2 June 2019 Question 2 - Spectral Decomposition

Tonton & Download Video Musik Gratis

⬇ DOWNLOAD NOW
Jika muncul iklan pop-up, tutup lalu klik tombol kembali

Download lagu Edexcel A-Level Further Mathematics: Further Pure 2 June 2019 Question 2 - Spectral Decomposition secara gratis hanya untuk keperluan promosi. Dukung artis favorit kamu dengan membeli musik original di iTunes atau platform resmi lainnya.