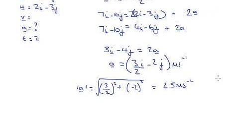
Edexcel A2 Applied Mechanics Paper 2019 q2 - Constant Acceleration with Vectors

Tonton & Download Video Musik Gratis

⬇ DOWNLOAD NOW
Jika muncul iklan pop-up, tutup lalu klik tombol kembali

Download lagu Edexcel A2 Applied Mechanics Paper 2019 q2 - Constant Acceleration with Vectors secara gratis hanya untuk keperluan promosi. Dukung artis favorit kamu dengan membeli musik original di iTunes atau platform resmi lainnya.