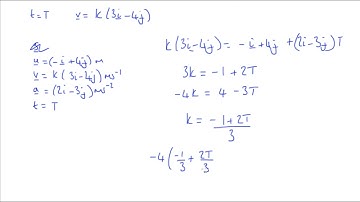
Edexcel A2 Applied Mechanics Paper 2019 q1 Variable Acceleration with Vectors

Tonton & Download Video Musik Gratis

⬇ DOWNLOAD NOW
Jika muncul iklan pop-up, tutup lalu klik tombol kembali

Download lagu Edexcel A2 Applied Mechanics Paper 2019 q1 Variable Acceleration with Vectors secara gratis hanya untuk keperluan promosi. Dukung artis favorit kamu dengan membeli musik original di iTunes atau platform resmi lainnya.