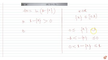
Domain of the function f(x)=log _ecos ^-1{√(x)} is, where {.} represents fractional part function...

Tonton & Download Video Musik Gratis

⬇ DOWNLOAD NOW
Jika muncul iklan pop-up, tutup lalu klik tombol kembali

Download lagu Domain of the function f(x)=log _ecos ^-1{√(x)} is, where {.} represents fractional part function... secara gratis hanya untuk keperluan promosi. Dukung artis favorit kamu dengan membeli musik original di iTunes atau platform resmi lainnya.