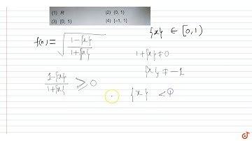
The domain of `f(x) = log_e(1-{x})` ; (where {.} denotes fractional part of x) is

Tonton & Download Video Musik Gratis

⬇ DOWNLOAD NOW
Jika muncul iklan pop-up, tutup lalu klik tombol kembali

Download lagu The domain of `f(x) = log_e(1-{x})` ; (where {.} denotes fractional part of x) is secara gratis hanya untuk keperluan promosi. Dukung artis favorit kamu dengan membeli musik original di iTunes atau platform resmi lainnya.