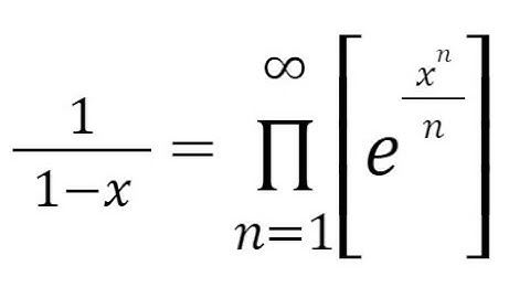
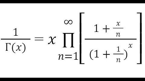
Infinite Product Series GAMMA(x) using Google Sheets or Excel PRODUCT and GAMMA functions

Tonton & Download Video Musik Gratis

⬇ DOWNLOAD NOW
Jika muncul iklan pop-up, tutup lalu klik tombol kembali

Download lagu Infinite Product Series GAMMA(x) using Google Sheets or Excel PRODUCT and GAMMA functions secara gratis hanya untuk keperluan promosi. Dukung artis favorit kamu dengan membeli musik original di iTunes atau platform resmi lainnya.