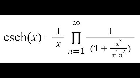
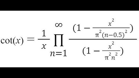
Google Sheets COS(x) INFINITE PRODUCT SERIES using ARRAYFORMULA PRODUCT function found in Excel

Tonton & Download Video Musik Gratis

⬇ DOWNLOAD NOW
Jika muncul iklan pop-up, tutup lalu klik tombol kembali

Download lagu Google Sheets COS(x) INFINITE PRODUCT SERIES using ARRAYFORMULA PRODUCT function found in Excel secara gratis hanya untuk keperluan promosi. Dukung artis favorit kamu dengan membeli musik original di iTunes atau platform resmi lainnya.