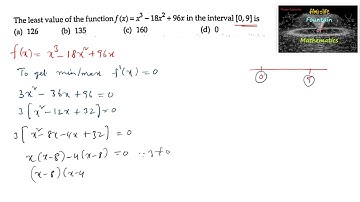
The maximum value of the function f(x)=3x^3-18x^2+27x-40 on the set S={x∈R:x^2+30≤11x} is

Tonton & Download Video Musik Gratis

⬇ DOWNLOAD NOW
Jika muncul iklan pop-up, tutup lalu klik tombol kembali

Download lagu The maximum value of the function f(x)=3x^3-18x^2+27x-40 on the set S={x∈R:x^2+30≤11x} is secara gratis hanya untuk keperluan promosi. Dukung artis favorit kamu dengan membeli musik original di iTunes atau platform resmi lainnya.