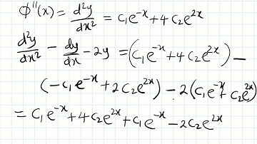
The differential equation which represents the family of curves y = c_1 e^(c_2 x), where c_1 and c_

Tonton & Download Video Musik Gratis

⬇ DOWNLOAD NOW
Jika muncul iklan pop-up, tutup lalu klik tombol kembali

Download lagu The differential equation which represents the family of curves y = c_1 e^(c_2 x), where c_1 and c_ secara gratis hanya untuk keperluan promosi. Dukung artis favorit kamu dengan membeli musik original di iTunes atau platform resmi lainnya.