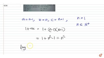
If a, b, c are consecutive positive integers and log (1+a c) =2 K, then the value of K is (1) log...

Tonton & Download Video Musik Gratis

⬇ DOWNLOAD NOW
Jika muncul iklan pop-up, tutup lalu klik tombol kembali

Download lagu If a, b, c are consecutive positive integers and log (1+a c) =2 K, then the value of K is (1) log... secara gratis hanya untuk keperluan promosi. Dukung artis favorit kamu dengan membeli musik original di iTunes atau platform resmi lainnya.