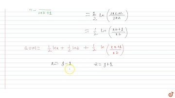
If x,y,z are three consecutive positive integers then 1/2 log_e⁡〖x+1/2 log_e⁡〖z+1/(2xz+1)+1/3

Tonton & Download Video Musik Gratis

⬇ DOWNLOAD NOW
Jika muncul iklan pop-up, tutup lalu klik tombol kembali

Download lagu If x,y,z are three consecutive positive integers then 1/2 log_e⁡〖x+1/2 log_e⁡〖z+1/(2xz+1)+1/3 secara gratis hanya untuk keperluan promosi. Dukung artis favorit kamu dengan membeli musik original di iTunes atau platform resmi lainnya.