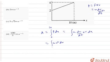
A particle with a mass of \( 1 \mathrm{~kg} \) is having a velocity of \( 10 \mathrm{~m} / \math...

Tonton & Download Video Musik Gratis

⬇ DOWNLOAD NOW
Jika muncul iklan pop-up, tutup lalu klik tombol kembali

Download lagu A particle with a mass of \( 1 \mathrm{~kg} \) is having a velocity of \( 10 \mathrm{~m} / \math... secara gratis hanya untuk keperluan promosi. Dukung artis favorit kamu dengan membeli musik original di iTunes atau platform resmi lainnya.