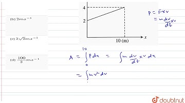
A particle A of mass `10//7kg` is moving in the positive direction of `x-axis`. At initial posit...

Tonton & Download Video Musik Gratis

⬇ DOWNLOAD NOW
Jika muncul iklan pop-up, tutup lalu klik tombol kembali

Download lagu A particle A of mass `10//7kg` is moving in the positive direction of `x-axis`. At initial posit... secara gratis hanya untuk keperluan promosi. Dukung artis favorit kamu dengan membeli musik original di iTunes atau platform resmi lainnya.