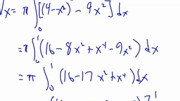
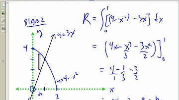
(23min) u CAN learn AP Calculus! Chapter 6-5 Volume Shells

Tonton & Download Video Musik Gratis

⬇ DOWNLOAD NOW
Jika muncul iklan pop-up, tutup lalu klik tombol kembali

Download lagu (23min) u CAN learn AP Calculus! Chapter 6-5 Volume Shells secara gratis hanya untuk keperluan promosi. Dukung artis favorit kamu dengan membeli musik original di iTunes atau platform resmi lainnya.