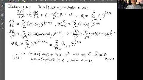
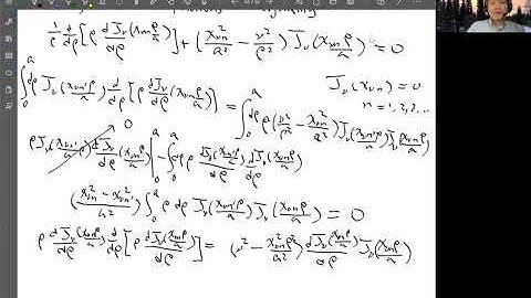
Jackson Section 3.7 Bessel Functions - Recurrence Formulas

Tonton & Download Video Musik Gratis

⬇ DOWNLOAD NOW
Jika muncul iklan pop-up, tutup lalu klik tombol kembali

Download lagu Jackson Section 3.7 Bessel Functions - Recurrence Formulas secara gratis hanya untuk keperluan promosi. Dukung artis favorit kamu dengan membeli musik original di iTunes atau platform resmi lainnya.