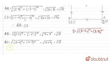
If the 3 vertices of a rectangle are the points (2,-2),(8,4) and (5,7)

Tonton & Download Video Musik Gratis

⬇ DOWNLOAD NOW
Jika muncul iklan pop-up, tutup lalu klik tombol kembali

Download lagu If the 3 vertices of a rectangle are the points (2,-2),(8,4) and (5,7) secara gratis hanya untuk keperluan promosi. Dukung artis favorit kamu dengan membeli musik original di iTunes atau platform resmi lainnya.