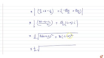
If \( a, b \), care distinct integers and \( w(\neq 1) \) is a cube root of unity, and the minim...

Tonton & Download Video Musik Gratis

⬇ DOWNLOAD NOW
Jika muncul iklan pop-up, tutup lalu klik tombol kembali

Download lagu If \( a, b \), care distinct integers and \( w(\neq 1) \) is a cube root of unity, and the minim... secara gratis hanya untuk keperluan promosi. Dukung artis favorit kamu dengan membeli musik original di iTunes atau platform resmi lainnya.