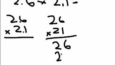
Multiplying Decimals - MathHelp.com - Pre Algebra Help

Tonton & Download Video Musik Gratis

⬇ DOWNLOAD NOW
Jika muncul iklan pop-up, tutup lalu klik tombol kembali

Download lagu Multiplying Decimals - MathHelp.com - Pre Algebra Help secara gratis hanya untuk keperluan promosi. Dukung artis favorit kamu dengan membeli musik original di iTunes atau platform resmi lainnya.