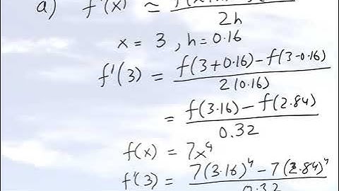
Chapter 02.02: Lesson: Numerical Differentiation: Second Derivative of a Continuous Function: Theory

Tonton & Download Video Musik Gratis

⬇ DOWNLOAD NOW
Jika muncul iklan pop-up, tutup lalu klik tombol kembali

Download lagu Chapter 02.02: Lesson: Numerical Differentiation: Second Derivative of a Continuous Function: Theory secara gratis hanya untuk keperluan promosi. Dukung artis favorit kamu dengan membeli musik original di iTunes atau platform resmi lainnya.