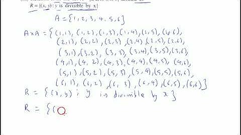
Relation R in the set A={1,2,3,4,5,6} defined as R={(x, y):y is divisible by x} Reflexive, Symmetric

Tonton & Download Video Musik Gratis

⬇ DOWNLOAD NOW
Jika muncul iklan pop-up, tutup lalu klik tombol kembali

Download lagu Relation R in the set A={1,2,3,4,5,6} defined as R={(x, y):y is divisible by x} Reflexive, Symmetric secara gratis hanya untuk keperluan promosi. Dukung artis favorit kamu dengan membeli musik original di iTunes atau platform resmi lainnya.