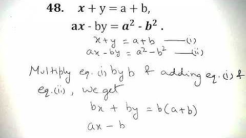
Class 10 Rs Aggarwal Ex 3B Solutions Question Number 48 || Linear Equations in two Variables

Tonton & Download Video Musik Gratis

⬇ DOWNLOAD NOW
Jika muncul iklan pop-up, tutup lalu klik tombol kembali

Download lagu Class 10 Rs Aggarwal Ex 3B Solutions Question Number 48 || Linear Equations in two Variables secara gratis hanya untuk keperluan promosi. Dukung artis favorit kamu dengan membeli musik original di iTunes atau platform resmi lainnya.