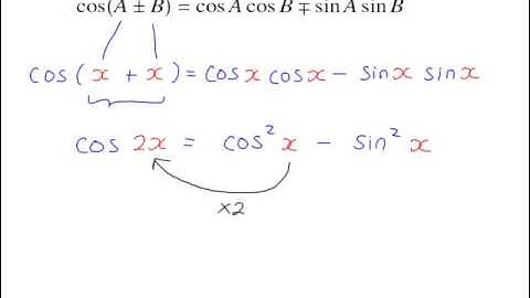
Past AS/A-Level Maths C3 Edexcel June 2005 Question 5 (on Trigonometry, Compound angle formulae)

Tonton & Download Video Musik Gratis

⬇ DOWNLOAD NOW
Jika muncul iklan pop-up, tutup lalu klik tombol kembali

Download lagu Past AS/A-Level Maths C3 Edexcel June 2005 Question 5 (on Trigonometry, Compound angle formulae) secara gratis hanya untuk keperluan promosi. Dukung artis favorit kamu dengan membeli musik original di iTunes atau platform resmi lainnya.