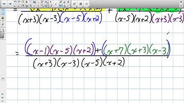
2.7 Adding & Subtracting Rational Expressions- Part 1 of 2

Tonton & Download Video Musik Gratis

⬇ DOWNLOAD NOW
Jika muncul iklan pop-up, tutup lalu klik tombol kembali

Download lagu 2.7 Adding & Subtracting Rational Expressions- Part 1 of 2 secara gratis hanya untuk keperluan promosi. Dukung artis favorit kamu dengan membeli musik original di iTunes atau platform resmi lainnya.