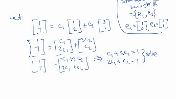
2.4 Eigenvalues & Eigenvectors - #16 Changing the Basis of a Matrix: Example

Tonton & Download Video Musik Gratis

⬇ DOWNLOAD NOW
Jika muncul iklan pop-up, tutup lalu klik tombol kembali

Download lagu 2.4 Eigenvalues & Eigenvectors - #16 Changing the Basis of a Matrix: Example secara gratis hanya untuk keperluan promosi. Dukung artis favorit kamu dengan membeli musik original di iTunes atau platform resmi lainnya.