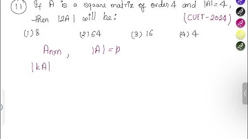
CUET Maths 2024 Solution | If A is a square matrix of order 4 and |A|=4, then 2|A| will be ....

Tonton & Download Video Musik Gratis

⬇ DOWNLOAD NOW
Jika muncul iklan pop-up, tutup lalu klik tombol kembali

Download lagu CUET Maths 2024 Solution | If A is a square matrix of order 4 and |A|=4, then 2|A| will be .... secara gratis hanya untuk keperluan promosi. Dukung artis favorit kamu dengan membeli musik original di iTunes atau platform resmi lainnya.