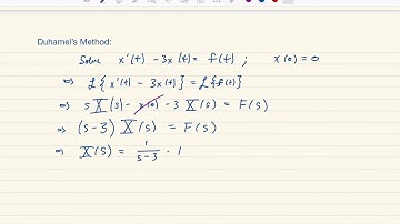
Mod-01 Lec-23 Duhamel's method for varying surface temperature

Tonton & Download Video Musik Gratis

⬇ DOWNLOAD NOW
Jika muncul iklan pop-up, tutup lalu klik tombol kembali

Download lagu Mod-01 Lec-23 Duhamel's method for varying surface temperature secara gratis hanya untuk keperluan promosi. Dukung artis favorit kamu dengan membeli musik original di iTunes atau platform resmi lainnya.