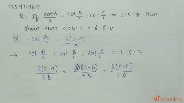
In `triangle ABC` if `cot (A/2):cot (B/2): cot (C/2)=3:5:7` then a:b:c?

Tonton & Download Video Musik Gratis

⬇ DOWNLOAD NOW
Jika muncul iklan pop-up, tutup lalu klik tombol kembali

Download lagu In `triangle ABC` if `cot (A/2):cot (B/2): cot (C/2)=3:5:7` then a:b:c? secara gratis hanya untuk keperluan promosi. Dukung artis favorit kamu dengan membeli musik original di iTunes atau platform resmi lainnya.