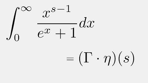
Deriving one RIDICULOUS Integral Representation for the DIRICHLET ETA FUNCTION on the Unit Square!

Tonton & Download Video Musik Gratis

⬇ DOWNLOAD NOW
Jika muncul iklan pop-up, tutup lalu klik tombol kembali

Download lagu Deriving one RIDICULOUS Integral Representation for the DIRICHLET ETA FUNCTION on the Unit Square! secara gratis hanya untuk keperluan promosi. Dukung artis favorit kamu dengan membeli musik original di iTunes atau platform resmi lainnya.