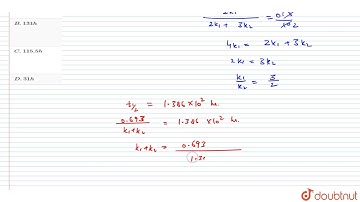
Consider the following two reactions : \[ \begin{array}{l} \mathrm{...

Tonton & Download Video Musik Gratis

⬇ DOWNLOAD NOW
Jika muncul iklan pop-up, tutup lalu klik tombol kembali

Download lagu Consider the following two reactions : \[ \begin{array}{l} \mathrm{... secara gratis hanya untuk keperluan promosi. Dukung artis favorit kamu dengan membeli musik original di iTunes atau platform resmi lainnya.