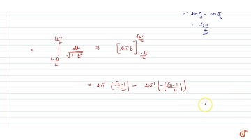
Integral pi/6 to pi/3 root Sin x / root Sin x + root Cos x @EAG

Tonton & Download Video Musik Gratis

⬇ DOWNLOAD NOW
Jika muncul iklan pop-up, tutup lalu klik tombol kembali

Download lagu Integral pi/6 to pi/3 root Sin x / root Sin x + root Cos x @EAG secara gratis hanya untuk keperluan promosi. Dukung artis favorit kamu dengan membeli musik original di iTunes atau platform resmi lainnya.