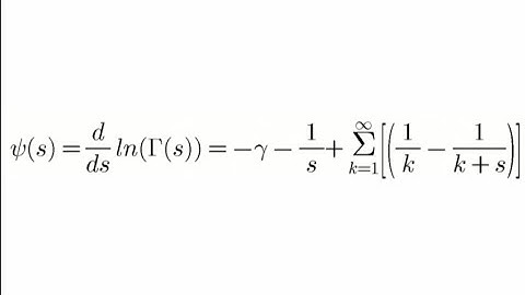
Asymptotics in the complex plane. Application of Eulers digamma function, Part 1.

Tonton & Download Video Musik Gratis

⬇ DOWNLOAD NOW
Jika muncul iklan pop-up, tutup lalu klik tombol kembali

Download lagu Asymptotics in the complex plane. Application of Eulers digamma function, Part 1. secara gratis hanya untuk keperluan promosi. Dukung artis favorit kamu dengan membeli musik original di iTunes atau platform resmi lainnya.