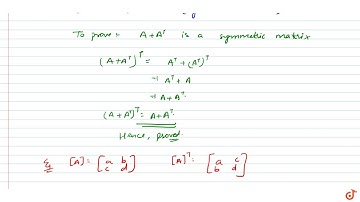
Prove that for any square matrix A , A+AT is symmetric & A-AT is skew symmetric matrix.

Tonton & Download Video Musik Gratis

⬇ DOWNLOAD NOW
Jika muncul iklan pop-up, tutup lalu klik tombol kembali

Download lagu Prove that for any square matrix A , A+AT is symmetric & A-AT is skew symmetric matrix. secara gratis hanya untuk keperluan promosi. Dukung artis favorit kamu dengan membeli musik original di iTunes atau platform resmi lainnya.