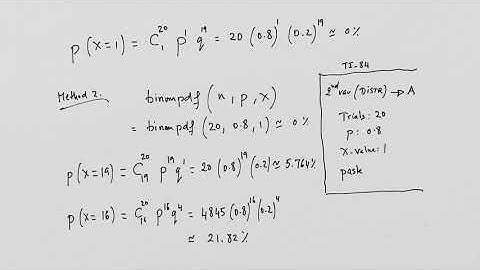
NCERT Class 12 Maths Chapter -13 Probability || Ex-13.5 Full Solution || Binomial Distribution .

Tonton & Download Video Musik Gratis

⬇ DOWNLOAD NOW
Jika muncul iklan pop-up, tutup lalu klik tombol kembali

Download lagu NCERT Class 12 Maths Chapter -13 Probability || Ex-13.5 Full Solution || Binomial Distribution . secara gratis hanya untuk keperluan promosi. Dukung artis favorit kamu dengan membeli musik original di iTunes atau platform resmi lainnya.