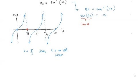
{arctan 2n} Determine whether the sequence converges or diverges. If it converges

Tonton & Download Video Musik Gratis

⬇ DOWNLOAD NOW
Jika muncul iklan pop-up, tutup lalu klik tombol kembali

Download lagu {arctan 2n} Determine whether the sequence converges or diverges. If it converges secara gratis hanya untuk keperluan promosi. Dukung artis favorit kamu dengan membeli musik original di iTunes atau platform resmi lainnya.