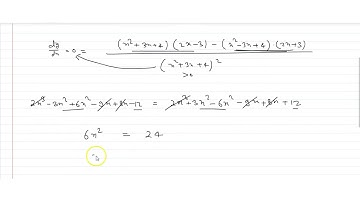
If x is real, then the maximum and minimum values of the expression x^2-3 x+4/x^2+3 x+4 will be (...

Tonton & Download Video Musik Gratis

⬇ DOWNLOAD NOW
Jika muncul iklan pop-up, tutup lalu klik tombol kembali

Download lagu If x is real, then the maximum and minimum values of the expression x^2-3 x+4/x^2+3 x+4 will be (... secara gratis hanya untuk keperluan promosi. Dukung artis favorit kamu dengan membeli musik original di iTunes atau platform resmi lainnya.