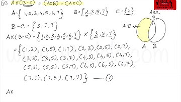
10th std samacheer maths online class - Unit 1 - Cartesian Product - Example 1.1 -1.3

Tonton & Download Video Musik Gratis

⬇ DOWNLOAD NOW
Jika muncul iklan pop-up, tutup lalu klik tombol kembali

Download lagu 10th std samacheer maths online class - Unit 1 - Cartesian Product - Example 1.1 -1.3 secara gratis hanya untuk keperluan promosi. Dukung artis favorit kamu dengan membeli musik original di iTunes atau platform resmi lainnya.