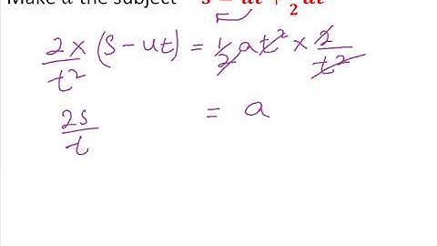
2015 KCSE MATHEMATICS PAPER 2 QUESTION 13 ON INTEGRATION

Tonton & Download Video Musik Gratis

⬇ DOWNLOAD NOW
Jika muncul iklan pop-up, tutup lalu klik tombol kembali

Download lagu 2015 KCSE MATHEMATICS PAPER 2 QUESTION 13 ON INTEGRATION secara gratis hanya untuk keperluan promosi. Dukung artis favorit kamu dengan membeli musik original di iTunes atau platform resmi lainnya.