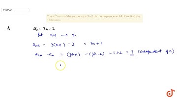
The `n^(th)` term of the sequence is `3n-2` . Is the sequence an AP. If so; find the 10th term .

Tonton & Download Video Musik Gratis

⬇ DOWNLOAD NOW
Jika muncul iklan pop-up, tutup lalu klik tombol kembali

Download lagu The `n^(th)` term of the sequence is `3n-2` . Is the sequence an AP. If so; find the 10th term . secara gratis hanya untuk keperluan promosi. Dukung artis favorit kamu dengan membeli musik original di iTunes atau platform resmi lainnya.