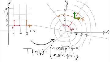
Calculus Week 10. 1st video. Reminder Linear Algebra Coordinate transformation Cartesian coordinates

Tonton & Download Video Musik Gratis

⬇ DOWNLOAD NOW
Jika muncul iklan pop-up, tutup lalu klik tombol kembali

Download lagu Calculus Week 10. 1st video. Reminder Linear Algebra Coordinate transformation Cartesian coordinates secara gratis hanya untuk keperluan promosi. Dukung artis favorit kamu dengan membeli musik original di iTunes atau platform resmi lainnya.