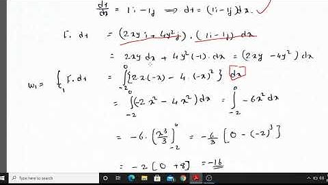
Calicut University - Sem 3 - Complimentary Mathematics - Line integrals - problem 2

Tonton & Download Video Musik Gratis

⬇ DOWNLOAD NOW
Jika muncul iklan pop-up, tutup lalu klik tombol kembali

Download lagu Calicut University - Sem 3 - Complimentary Mathematics - Line integrals - problem 2 secara gratis hanya untuk keperluan promosi. Dukung artis favorit kamu dengan membeli musik original di iTunes atau platform resmi lainnya.