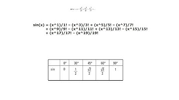
Sum of Sin(x) Series Python Program | x - x^3/! + x^5/5! – x^7/7! … |Python Series Program

Tonton & Download Video Musik Gratis

⬇ DOWNLOAD NOW
Jika muncul iklan pop-up, tutup lalu klik tombol kembali

Download lagu Sum of Sin(x) Series Python Program | x - x^3/! + x^5/5! – x^7/7! … |Python Series Program secara gratis hanya untuk keperluan promosi. Dukung artis favorit kamu dengan membeli musik original di iTunes atau platform resmi lainnya.