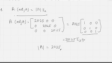
Q.1. If for a square matrix A, 𝑨.(𝒂𝒅𝒋𝑨)= 2025 0 0

Tonton & Download Video Musik Gratis

⬇ DOWNLOAD NOW
Jika muncul iklan pop-up, tutup lalu klik tombol kembali

Download lagu Q.1. If for a square matrix A, 𝑨.(𝒂𝒅𝒋𝑨)= 2025 0 0 secara gratis hanya untuk keperluan promosi. Dukung artis favorit kamu dengan membeli musik original di iTunes atau platform resmi lainnya.