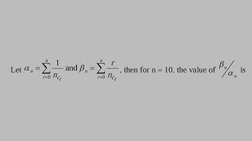
Let a=sigma (4r^2+2r+1)nCr and beta=sigma nCr/(r+1)+1/n+1 if 2alpha/beta €(140,281),then value n is

Tonton & Download Video Musik Gratis

⬇ DOWNLOAD NOW
Jika muncul iklan pop-up, tutup lalu klik tombol kembali

Download lagu Let a=sigma (4r^2+2r+1)nCr and beta=sigma nCr/(r+1)+1/n+1 if 2alpha/beta €(140,281),then value n is secara gratis hanya untuk keperluan promosi. Dukung artis favorit kamu dengan membeli musik original di iTunes atau platform resmi lainnya.