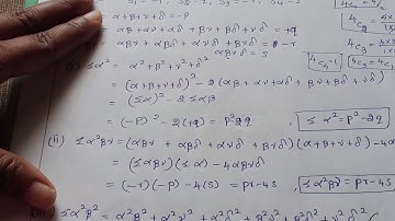
Symmetric function of roots# part 1 # Algebra # TAM1A# example 1 for exercise 44 # T.K.M Algebra v-I

Tonton & Download Video Musik Gratis

⬇ DOWNLOAD NOW
Jika muncul iklan pop-up, tutup lalu klik tombol kembali

Download lagu Symmetric function of roots# part 1 # Algebra # TAM1A# example 1 for exercise 44 # T.K.M Algebra v-I secara gratis hanya untuk keperluan promosi. Dukung artis favorit kamu dengan membeli musik original di iTunes atau platform resmi lainnya.