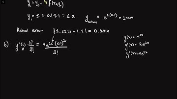
Math245: Chapter 2 6 Ex 4 Part C | Measuring Euler's Method Error

Tonton & Download Video Musik Gratis

⬇ DOWNLOAD NOW
Jika muncul iklan pop-up, tutup lalu klik tombol kembali

Download lagu Math245: Chapter 2 6 Ex 4 Part C | Measuring Euler's Method Error secara gratis hanya untuk keperluan promosi. Dukung artis favorit kamu dengan membeli musik original di iTunes atau platform resmi lainnya.