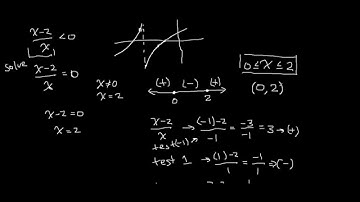
Common Core Algebra II.Unit 10.Lesson 13.Solving Rational Inequality

Tonton & Download Video Musik Gratis

⬇ DOWNLOAD NOW
Jika muncul iklan pop-up, tutup lalu klik tombol kembali

Download lagu Common Core Algebra II.Unit 10.Lesson 13.Solving Rational Inequality secara gratis hanya untuk keperluan promosi. Dukung artis favorit kamu dengan membeli musik original di iTunes atau platform resmi lainnya.